2019年1月3日,嫦娥四号探测器首次在月球背面南极-艾特肯盆地内的冯·卡门撞击坑内成功软着陆。嫦娥四号共搭载了9台科学载荷,其中有3台是国际载荷,在这3台国际载荷中,“月表中子与辐射剂量探测仪”(LND)搭载在着陆器上,由中国科学院国家空间科学中心和德国基尔大学联合完成,首次在月表实地进行粒子辐射环境探测,该仪器的首席专家分别是德方的Robert.F.Wimmer-schweingruber教授和中方的张珅毅研究员。



图一:LND仪器以及在着陆器上的安装位置
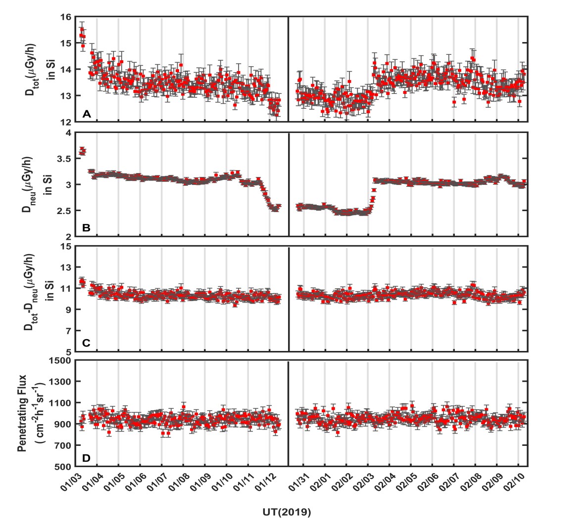
月表中子与辐射剂量探测仪可对月表的粒子辐射总剂量、中性粒子辐射剂量、粒子辐射LET谱、中子、带电粒子(质子、电子、重离子)进行综合测量。实测结果表明,月表的粒子辐射剂量率为13.2uGy/h(si),其中,中性粒子(中子和伽玛射线)的辐射剂量率为3.1uGy/h(si),约占总比例的23%,品质因子为4.3,粒子辐射剂量当量约为60uSv/h。月表的剂量当量是火星表面和空间站内部的2倍,一次航班的5到10倍,地球表面(北京)的300倍。

图二: LND仪器测量到的月表辐射剂量(横轴为世界时,纵轴分别为:a 硅中的总辐射剂量率(微戈瑞/小时),b. 硅中的中性粒子辐射剂量率(微戈瑞/小时), c. 硅中的带电粒子辐射剂量率(微戈瑞/小时),d. 宇宙线穿透粒子通量(个/平方厘米·小时·弧度))

图三:LND测量到的月表的粒子辐射LET谱(水) (横坐标为粒子等效在水中的线性能量损失(千电子伏/微米),纵轴为粒子的通量(个/(千电子伏/微米)·平方厘米·弧度·小时))
月表中子与辐射剂量探测仪首次实现了月表的就位探测,其实地测量结果将为我国后续的嫦娥计划,特别是“载人登月”的实施提供了重要的辐射环境参数参考。该载荷还对带电粒子和中性粒子的辐射剂量进行了区分,由此提供了更加精准的辐射物理量,可服务于航天员的辐射防护。该研究成果发表在Science子刊《Science Advance》上。Science 杂志撰文对该结果进行了相关评论。
论文链接