相对论电子具有很高能量(>1MeV),能够直接穿透各种航天器的表面材料,产生内部静电放电,造成航天器部件损坏。地球磁层空间中存在着大量电子,在适当机制的激发下,这些电子被有效地加速到相对论量级,导致空间中相对论电子通量呈现数量级的增长,此时,在轨运行的航天器内部静电放电风险将急剧增加,严重时,可能导致航天器失效。因此,外辐射带相对论电子增长一直被认为是地球空间威胁航天器在轨安全的最主要因素之一。在理论研究方面,外辐射带相对论电子的演化在日-地能量耦合中扮演着重要的角色。因此,对相对论电子加速机制的研究兼具工程和科学的价值。
近日,空间中心杨晓超等人,利用风云一号卫星空间环境监测器(空间环境探测室自主研制)获得的探测数据,结合国外数据及数值计算结果,发现并证明本地加速机制可以在地球辐射带“槽区”有效激发相对论电子增长,而且增长后的高通量水平可维持近两个月,使得原来较为安全的“槽区”成为内部充放电风险极高的区域。该结果发表于American Geophysical Union(AGU)学术期刊《Journal of Geophysical Research: Space Physics》。
文章用实测的相对论电子通量和等离子体密度证明,在L-shell(磁壳数)低达3的空间区域,剧烈的相对论电子增长可以发生在等离子体层顶以外。审稿人在意见中评价:“单是证明在如此低的L-shell处,相对论电子增强能够在等离子层顶以外发生就非常有科学价值。”
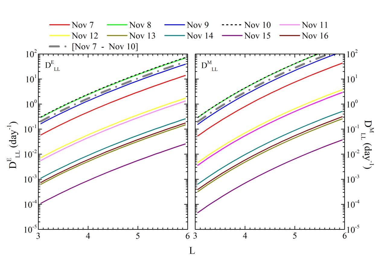
文章还用径向扩散加速效率以及哨声模和声波共振加速效率数值计算的结果证明,哨声模和声波与能量电子相互作用是导致这次“槽区”相对论电子增长的主要机制。结合通量衰减时间特性的分析和hiss共振损失效率的数值计算结果,该研究成果认为相对论电子与等离子体层顶内hiss和EMIC波动共振导致的缓慢损失,是该区域相对论电子能够长时间存在的原因。
(供稿:探测室)
相关链接:http:/onlinelibrary.wiley.com/doi/10.1002/2016JA023204/epdf
Citation: Yang, X., B. Ni, J. Yu, Y. Zhang, X. Zhang, and Y. Sun (2017), Unusual refilling of the slot region between the Van Allen radiation belts from November 2004 to January 2005, J. Geophys. Res. Space Physics, 122, doi:10.1002/2016JA023204.

图一: 相对论电子通量-L shell的时间演化

图二:磁层磁场的ULF波动

图三:不同L处的相对论电子衰减